近日,天津师范大学物理与材料科学学院张禧征教授科研团队在量子多体系统的可积性破缺与疤痕态研究方面取得重要进展。相关成果以“Integrability Breaking and Coherent Dynamics in Hermitian and Non-Hermitian Spin Chains with Long-Range Coupling”为题在线发表于《Physical Review B》。

图1 长程耦合驱动体系由可积走向混沌的典型判据。左侧四个子图展示了厄米与非厄米情形下的谱统计与Krylov complexity特征。

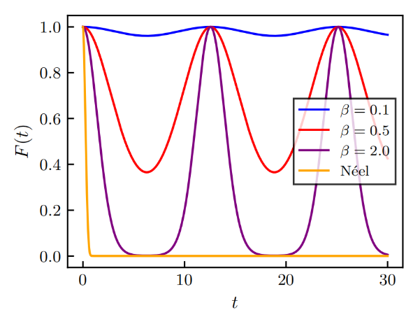
图2 疤痕态塔对应的相干动力学回复。右侧图展示了不同参数下初态保真度随时间演化的周期性回复行为。
揭示复杂量子系统中遍历性破缺的机理是非平衡物理学的重要课题。该工作的创新点主要有两方面。其一,研究团队揭示了长程耦合作为统一控制参量,如何在厄米与非厄米体系中共同驱动系统由可积走向混沌。如图1所示,通过能级统计和 Krylov complexity 分析,厄米情形下体系由 Poisson 分布过渡到 Wigner-Dyson 分布,非厄米情形下也呈现出明显的混沌动力学特征。其二,研究团队在混沌背景中进一步识别出一组严格非热本征态,具有等能级间隔、低纠缠熵和稳定相干回复等特征,构成鲁棒的量子多体疤痕态。如图2所示,即使在强非厄米微扰下,这些疤痕态仍可支撑初态保真度的周期性回复。该研究为理解长程相互作用与非厄米效应共同重塑量子遍历性提供了新视角,也为复杂多体系统中的量子相干保持与量子态调控提供了新的理论路径。
天津师范大学研究生刘延盛为第一作者,张禧征教授为唯一通讯作者。天津师范大学为本工作的唯一完成单位,该论文得到了国家自然科学基金面上项目(11975166,12275193)的支持。
论文链接:https://doi.org/10.1103/bp8f-rhj4