数学科学学院微分方程周立群教授团队通过设计自适应事件触发控制器分析了具有比例时滞的不确定性复值反应扩散 T–S 模糊忆阻神经网络的全局多项式同步问题。在IEEE Transactions on Neural Networks and Learning Systems发表了题为“Global Polynomial Synchronization of Uncertain Complex-Valued Reaction-Diffusion T-S Fuzzy Memristive Neural Networks With Proportional Delays Under Adaptive Event-Triggered Control”的学术论文。
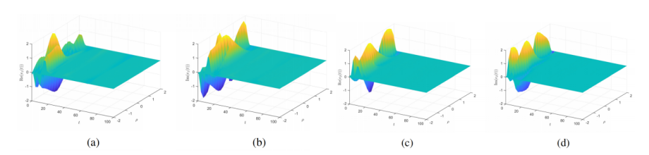
成果的主要亮点体现在以下三个方面:一是首次将区间矩阵理论处理实值忆阻的方法扩展至复值忆阻;二是通过设计自适应事件触发控制器,在保证系统性能的同时,有效降低了能耗与通信消耗,图1(a)-(d)为控制器下误差系统的仿真图像;三是成功将上述同步结果应用于图像加密领域,验证了理论方法的实际应用价值,图2(a)-(c)分别为图像加密的原始图像、加密图像与解密图像。

图1 事件触发控制器下误差系统的状态响应曲线: (a)-(b) 状态1的实部和虚部; (c)-(d) 状态2的实部和虚部

图2 (a) 原始图像; (b) 加密图像; (c) 解密图像
该工作由数学科学学院微分方程团队完成。郭昱贤(研究生)为第一作者,其导师周立群教授为通讯作者,天津师范大学为第一单位。本研究得到国家自然科学基金项目(11902221; 12101452)和天津自然科学基金项目(24JCYBJC00470; No. 25JCLQJC00090)的资助。
论文链接:https://ieeexplore.ieee.org/document/11423886